New World
[디지털논리회로#2,3]논리게이트와 부울대수 본문
728x90
반응형
1. 논리연산
1. 논리연산과 논리게이트
논리연산 : 2진 디지털 시스템에서 입출력 관계를 표현
- 그래프다 진리표로 표시
- 논리함수로 표시 (입력에 따라 변수가 어떻게 변하는가 나타내는 함수, 2진 논리값/논리함수)
논리집합 (부울집합) : 집합이 0과 1로만 구성된 집합
- AND 연산 : 점으로 표시, 생략 가능
- OR 연산 : 덧셈 기호로 표시
- NOT 연산 : 변수 위에 줄을 그어 표시
| AND 게이트 | OR 게이트 | NOT 게이트 |
![]() |
![]() |
![]() |
| NAND 게이트 | NOR게이트 | |
![]() |
![]() |
|
| XOR 게이트 | XNOR 게이트 | |
![]() |
![]() |
|
2. 부울대수
부울대수 : 0과 1의 값을 갖는 논리변수와 논리연산을 다루는 대수
부울함수
- 논리변수의 상호관계를 나타내기 위해 부울변수, 부울연산기호, 괄호 및 등호 등으로 나타내는 대수적 표현
- 논리회로도 : 논리 게이트들로 구성되는 논리회로도 작성 가능 (단순해야함)
- 진리표 : 논리변수에 할당한 0과 1의 조합의 리스트
| 논리회로도 | 진리표 |
![]() |
![]() |
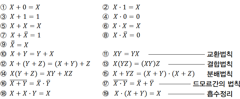
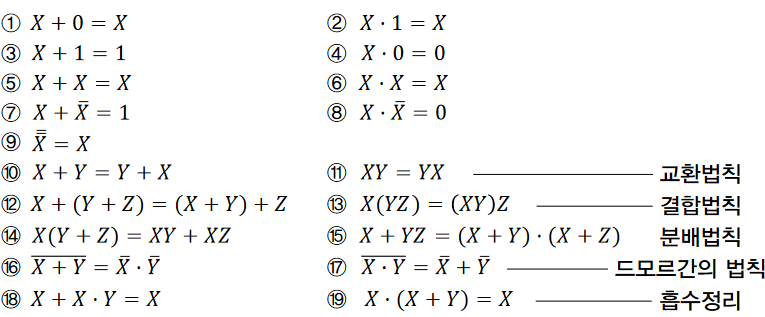
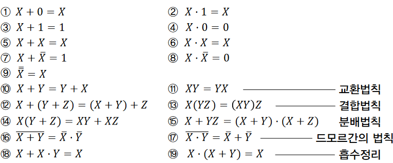
| 기본 공식 | |
![]() |
|
쌍대성 원리
- 부울대수에서 어떤 부울공식이 항상 성립하고 자신의 쌍대형태를 구할 수 있다면 그 쌍대형태의 부울식도 성립
쌍대형태 : 논리연산, 논리상수
부울함수의 간소화 방법
- 대수적인 방법 : 항 결합, 문자 소거
- 도표를 이용한 방법 :
- 테이블을 이용한 방법 :
3. 부울함수의 정규형 및 표준형
정규형
- 부울함수를 최소항의 합 or 최대항의 곱
- 최소항(mj) : 논리곱(AND)으로 표현 (결과 : 논리-1)
- 최대항(Mj) : 논리합(OR)으로 표현(결과 : 논리-0)
표준형
- 부울함수를 표현하는 간소화된 형태 (각 항은 하나 또는 그 이상의 문자로 구성)
- 곱의 합 & 합의 곱

![]() |
정답 : 1 |
![]() |
![]() |
![]() |
|
![]() |
정답 : 1 F = X + X'Y = X'(X + Y) = X + Y |
반응형
'Self-Study > Study' 카테고리의 다른 글
| [디지털논리회로#6,7,8]조합논리회로 (0) | 2022.05.21 |
|---|---|
| [디지털논리회로#4,5]부울함수의 간소화 및 구현 (0) | 2022.05.21 |
| [디지털논리회로#1]디지털 논리회로와 데이터표현 (0) | 2022.05.21 |
| [데이터베이스시스템#11~14]해싱과 특수 인덱스 (0) | 2022.05.19 |
| [데이터베이스시스템#10]인덱싱 (0) | 2022.05.18 |
Comments














